In de eerste vier maanden van 2018 zijn in Nederland 3.084.414 verkeersovertredingen geconstateerd voor onder meer te hard rijden, door rood licht rijden, bellen of appen tijdens het rijden en fietsen zonder licht. Dat zijn er meer dan vorig jaar, toen het aantal onder de drie miljoen bleef.
De meeste boetes zijn uitgedeeld voor te hard rijden via camera’s langs de weg, dat zijn er 2.558.671. Het aantal boetes voor fietsers zonder licht is bijna verdubbeld naar 13.488. Driehonderdduizend buitenlandse overtreders kregen een boete thuisgestuurd. De stijging daar is gelijk aan die van de Nederlandse overtreders.
Sinds enige tijd zijn er in Nieuwegein enkele flitspalen geplaatst. Jaarlijks telt Nieuwegein circa 200 geregistreerde ongevallen in het verkeer. De twee belangrijkste oorzaken van deze ongevallen zijn door rood licht rijden en te hard rijden. ‘Maatregelen zoals het plaatsen van flitspalen kunnen bijdragen aan de verkeersveiligheid. De beste maatregelen zijn die aan de weg. De weg aanpassen gaat helaas niet altijd door de functie ervan’ aldus de gemeente Nieuwegein.
Waar staat de flitspalen
– A.C. Verhoefweg ter hoogte van het kruispunt Barnsteendrift;
– Weg naar de Poort ter hoogte van het kruispunt Buizerdlaan;
– Plettenburgerbaan ter hoogte van het kruispunt Perkinsbaan.
– Symfonielaan ter hoogte van het kruispunt Harmonielaan (alleen snelheid);
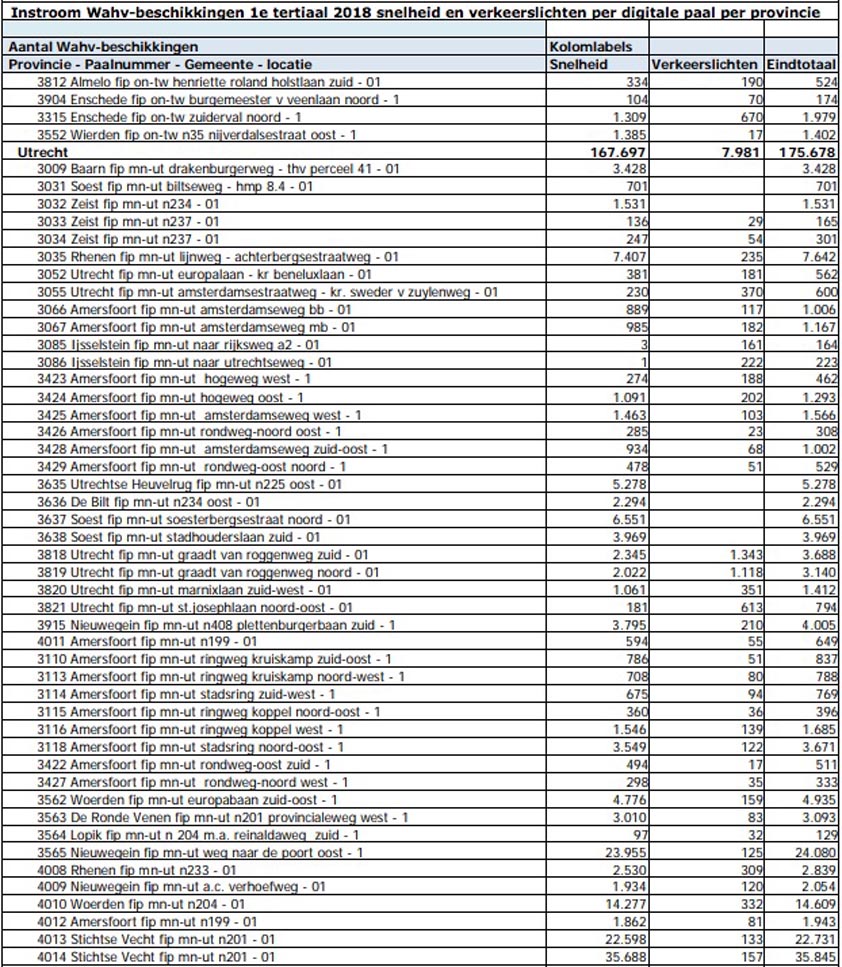
Onlangs heeft het Centraal Justitieel Incassobureau (CJIB) de cijfers bekend gemaakt van het aantal boetes die gegeven zijn met behulp van de flitspalen, dit doet het CJIB overigens pas vanaf 2016. Wat blijkt nu? De flitspaal bij De Poort van Nieuwegein blijkt een ‘gouden poort’ te zijn want met maar liefst 24.080 boetes in de eerste vier maanden van dit jaar staat deze flitspaal in de top 3 van Nederland! Van dit aantal waren er 125 vanwege door rood licht rijden, de rest was snelheid.
Dennis Maas op internet: ‘Dit is echt een vieze. Heb hem een poosje terug gehad van 12 te hard.’ Dennis Niemeijer vraagt zich af of deze paal niet te dicht na het bord 50 km is geplaatst.
De flitspaal op de A.C. Verhoefweg deelde iets minder boetes uit: 2054, 120 hiervan waren voor door roodlicht rijden. De flitspaal op de Plettenburgerbaan noteerde het dubbele. Maar liefst 4005 bekeuringen werden door de paal uitgeschreven. 210 hiervan waren voor roodlicht.
De cijfers op een rijtje: In de eerste vier maanden werden in Nieuwegein maar liefst 30.139 bekeuringen uitgedeeld. Hierbij is nog niet opgenomen de aantal boetes van de flitspaal op de Symfonielaan want die is pas begin mei dit jaar aangegaan. In de hele provincie Utrecht waren dat 175.678 bekeuringen. Met recht kunnen de flitspalen in Nieuwegein ‘gouden palen’ genoemd worden, in iedere geval die bij ‘De Poort van Nieuwegein.’
De cijfers van het CJIB.
Ontdek meer van De Digitale Stad Nieuwegein
Abonneer je om de nieuwste berichten naar je e-mail te laten verzenden.

Dat daar nog geen aanrijdingen zijn geweest op de weg van de poort is een wonder.
Men komt daar van een 80 km weg en moet vol in de remmen .
Inderdaad gezien de wachttijd bij rood probeer je ‘m snel te halen. Heb dit jaar mijn derde (reed 30 jaar boetevrij) #goudenpoort
#top3 #cjib #melkkoe
Ik heb vandaag een boete gekregen op deze bewuste kruising maar…ik ben daar NOOIT geweest.. !!!
Ik zie de borden al op afstand staan en weet dat ik een bebouwde kom binnenrij. Iemand een bril nodig? En als je eenmaal in de fout bent gegaan, dan laat je dat toch wel een volgende keer. Als je een bekeuring krijg, niet klagen maar dragen. Het is dan je eigen fout.
Als er op de Buizerdlaan een dubbele flitspaal gezet wordt bij de rand van het 30 km gebied zal dit een topscorer worden. Van de 10 auto’s en motoren rijden er zeker 8 te hard zowel het gebied in als eruit. Ik zie ze regelmatig met snelheden van 70 en hoger voorbijkomen.
Dank aan alle mensen die deze vrijwillige belasting (steeds weer) betalen.
Ga vooral zo door!
Geld verdienen?? Maak van de ac Verhoefweg een weg met trajectcontrole
Ook al jaren geen boete gehad, als je hier op snelheid komt aanrijden, zal je blijkbaar flink in de remmen moeten om op tijd 50 te rijden. 71 euro voor 9 km te hard is toch zuur. Ik woon hier niet, maar heb zeker niet expres te hard gereden. Je hebt ook te maken met een stroom auto’s waarmee te zo’n weg berijdt. Dan ga je niet vol in de remmen.
ik kom zelden in Nieuwegein. Eind dec. 2018 in de vakantie wilden we een keertje winkelen op CityPlaza. Boete voor 5 km te hard rijden. Ik vind het niet echt een weg van 50 daar. Eerder 70. Naast het belachelijk hoge parkeertarief daar nu dus ook een boete. Mij zullen ze daar niet meer zien op City Plaza.
Ik heb vandaag een boete in de bus gekregen voor 5 km te hard rijden !! Echter ben ik daar NOOIT geweest… Heel vreemd dit, dus ik ga de foto opvragen !