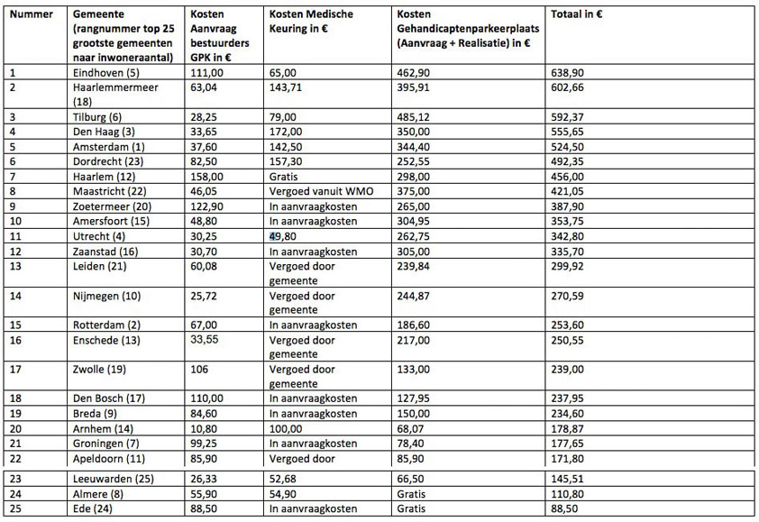
Uit onderzoek van Kassa naar de kosten voor gehandicaptenparkeervoorzieningen in de 25 grootste gemeenten blijkt dat de kosten die je als mindervalide kwijt bent sterk kunnen verschillen per gemeente. Nieuwegein maakt het helemaal bont en is zelfs duurder dan de nummers 1 en 2 uit het onderzoek van het televisieprogramma van de VARA.
Zo betaal je in de gemeente Ede voor een gehandicapten parkeerplaats en gehandicaptenparkeerkaart samen € 88,50, terwijl je in Nieuwegein € 831,20 kwijt bent voor dezelfde voorzieningen. Dit is maar liefst € 192,30 duurder dan de nummer 1 uit het onderzoek van VARA’s KASSA! In Nieuwegein kost een gehandicaptenparkeerplaats € 643,60 en de gehandicaptenparkeerkaart € 187,60.
De gehandicaptenparkeerkaart is in heel Europa geldig, maar wat je ervoor betaalt verschilt dus ook flink per gemeente. De verschillen in kosten voor deze faciliteiten lijken onbegrijpelijk groot. In de gemeente Oss, die buiten de lijst valt, betaal je zelfs helemaal niets.
Gemeenten rekenen dus zeer uiteenlopende bedragen voor de aanvraag en realisatie van een parkeerplaats, leges voor de gehandicaptenparkeerkaart (GPK) en een eventuele medische keuring. Resultaat is dat je als inwoner met een beperking voor exact dezelfde faciliteiten in de eigen gemeente soms honderden euro’s meer kwijt bent dan in een gemeente verderop. Het verschil tussen Ede en Nieuwegein is maar liefst € 742,70 voor dezelfde werkzaamheden!
De gemeente Nieuwegein laat in een reactie weten:
Naar aanleiding van de televisie uitzending van Kassa blijkt dat de kosten voor parkeervoorzieningen voor gehandicapten fors verschillen per gemeente. De kosten daarvoor in Nieuwegein blijken hoger te zijn dan die in andere gemeenten. Wij kunnen ons voorstellen dat dit vragen oproept bij mensen. De kosten zijn hoger doordat Nieuwegein de werkelijk gemaakte kosten berekent. De gemeenteraad heeft besloten om al de gemaakte kosten voor voorzieningen in rekening te brengen. Wel is het mogelijk om een betalingsregeling af te spreken voor mensen die dit niet kunnen betalen.
Gehandicaptenparkeervoorzieningen
Een gehandicaptenparkeerplaats is bedoeld voor mensen met een handicap. Andere bestuurders mogen hun auto hier niet parkeren. Er zijn verschillende soorten gehandicaptenparkeerplaatsen. Een algemene waarvoor je een gehandicaptenparkeerkaart moet hebben. Een persoonlijke op kenteken waar alleen de betreffende auto mag staan.
Welke kosten worden gemaakt?
De kosten bestaan uit uren die onder meer worden gemaakt voor het vervaardigen van een tekening, het bepalen van de locatie ter plekke en het leveren van een bord inclusief het plaatsen ervan.
Ontdek meer van De Digitale Stad Nieuwegein
Abonneer je om de nieuwste berichten naar je e-mail te laten verzenden.

Geld binnen harken over de rug van invaliden…chapeau Nieuwegein, jullie kunnen trots zijn.
Er wordt even vergeten dat gehandicapten geen parkeerkosten betalen in tegenstelling tot de overige parkeerders. Dus wellicht is dat in de prijsopgave meegenomen
Pfff, na even doorgelezen te hebben blijkt het nog veel erger te zijn ….
Nieuwegein heeft een mening voor wat betreft elektrisch rijden, vinden ze fijn. En een oplaadplek moet ook kunnen. De kosten voor de laadpaal en al het elektrische gebeuren is voor rekening van de aanvrager / beheerder van de paal. Maar (zo lezen we in de “Beleidsregels openbare oplaadinfrastructuur elektrische voertuigen”, te vinden op http://www.nieuwegein.nl/elektrischrijden):
“7. Plaatsing en beheer oplaadpaal/-infrastructuur
De aanvrager van de ontheffing voor het plaatsen van een oplaadpaal en/of andere oplaadinfrastructuur is tevens de beheerder hiervan. De beheerder is verantwoordelijk voor realisatie, beheer, onderhoud en exploitatie van de oplaadpaal/-infrastructuur en neemt alle kosten hiervoor voor zijn rekening. De kosten ter bescherming van de oplaadpaal/-infrastructuur (hekjes e.d.) zijn ook voor rekening van de beheerder.
8. Inrichting en beheer parkeerplaatsen
De kosten voor het nemen van een verkeersbesluit en de kosten voor het plaatsen van een verkeersbord, tegel en/of markering op de aangewezen parkeerplaats(en) zijn voor rekening van de gemeente.”
Oftewel, als je een oplaadplaats voor een elektrische auto (daar KIES je zelf voor) aanvraagt betaalt de gemeente. Heb je een handicap (verwacht dat weinig mensen deze graag zelfstandig aanschaffen), dan rekent de gemeente € 643,60.
Ik – en de gemeente zal zich niet in de kwalificatie herkennen – heb er maar 1 woord voor over; SCHOFTERIG!
Overigens reken ik dit, naast de ambtenaren welke deze reglementen opgesteld hebben, ook iedereen in de gemeenteraad aan, zij hebben immers al deze zaken goedgekeurd!